banner
TRANG CHỦ TIN TỨC CÔNG NGHỆ PHÁT MINH THẾ KỶ KHOA HỌC GÓC NHÌN 360° SÁNG CHẾ Ý TƯỞNG XANH NĂNG LƯỢNG BÍ ẨN VIDEO
TRANG CHỦ > Tin tức > Đáp án thi đại học Bản in  |  Gửi thư  |  Kênh RSS
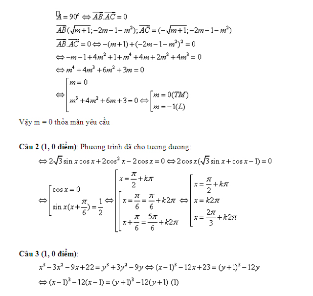
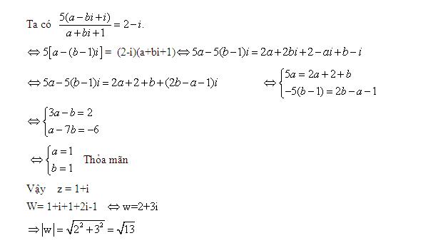
Đáp án Chính thức Đề thi môn Toán Lý Hóa Anh khối A và khối A1 năm 2012 của Bộ Giáo dục.
(www.phatminh.com) VNMATH xin giới thiệu Đáp án Đề thi Đại học môn Toán năm 2012 khối A, A1 cũng như phân tích các các cách giải và bình luận đề thi Đại học năm 2012 các khối A, A1 thi sáng ngày 4/7/2012.















(Nguồn: VNMATH.COM )
Thảo luận cho chủ đề này:
Hiện chưa có thảo luận cho chủ đề này!
Gửi thảo luận mới:
 Họ và tên
 Email
Mã kiểm tra 
CÁC TIN ĐÃ ĐĂNG:
Bộ Giáo dục công bố đáp án thi khối A, B, C, D (10/7/2011)
Đáp án môn Toán đại học khối A năm 2011 (5/7/2011)
Đáp án môn Hóa đại học năm 2011 (5/7/2011)
Đáp án gợi ý môn Lý đại học khối A năm 2011 (5/7/2011)
  Xin chào,
  Mời bạn Đăng nhập hoặc Đăng ký thành viên
Bạn cần cài Flash Player để xem được Clip này.
win 10 - phải
honda
Robocon 2015
Bộ Giáo dục công bố đáp án thi khối A, B, C, D
Đáp án Chính thức Đề thi môn Toán Lý Hóa Anh khối A và khối A1 năm 2012 của Bộ Giáo dục.
Đáp án môn Toán đại học khối A năm 2011
Đáp án gợi ý môn Lý đại học khối A năm 2011
Đáp án môn Hóa đại học năm 2011
Phat minh thien tai
Chiếc máy bay đầu tiên
Xe điện của Nissan đạt vận tốc 300 km/giờ
Tương lai của chất dẻo sinh học sẽ ra sao?
10 nhà khoa học lỗi lạc nhất trong lịch sử
Iran đã sản xuất 4 loại thuốc nano cho bệnh nhân ung thư
Công nghệ tự chẩn bệnh nhờ ráy tai
9 cách xử lý côn trùng cắn từ những vật dụng sẵn có
Những phát minh nổi tiếng thế giới của người Việt
vu khi - khi tai
Yamaha 1
Sáng Tạo Việt